孫斌勇在命題證明中假設得到肯定結論是犯了預期理由的邏輯錯誤
由於數學家普遍不懂邏輯學,不懂語法與修辭,他們的數學命題證明幾乎全部錯誤。孫斌勇的工作全部都是錯誤的。獲得了國家自然科學二等獎和未來科學大獎邵逸夫數學獎等。
-----------------------------------------------------------------------------------------------------
中國科學院和中國數學會介紹文章說: 
L-函數特殊值的算術性質是Langlands綱領,特別是算術代數幾何的核心問題之一。高階Rankin-Selberg L-函數特殊值的算術性質研究中有一個被稱為非零假設的致命障礙。這個假設最早由以色列科學院、美國科學院院士D.Kazhdan和美國科學院院士B.Mazur在上世紀70年代提出,它斷言作為分母出現在L-函數特殊值表達式中的一個局部zeta積分非零。近年來,許多關於L-函數特殊值的重要結果是在非零假設成立的基礎上得到的。項目成員與合作者證明的典型群重數一定理完成了這個假設的證明。《美國數學會雜誌》審稿人指出非零假設是這個方向“所有工作中的一個根本難點”。這項工作被國際同行稱為“孫的突破”。 哥倫比亞大學教授M. Harris等人在論文中稱這個問題的解決使整個關於L-函數特殊值研究的領域更加引人矚目,他還在2014年國際數學家大會45分鐘報告中指出由於孫斌勇對這個猜想的證明,人們可以期待(L-函數特殊值)這個問題在未來幾年的快速發展。
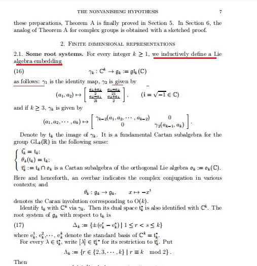
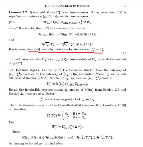
1. B. Sun, The nonvanishing hypothesis at infinity for Rankin-Selberg convolutions, J. Amer. Math. Soc. 30 (2017), 1-25.
---------------------------------------------------------------------------------------------------
孫斌勇的論文大量使用假設,還有假設下的假設。在假設和兼容的情況下獲得肯定的結果,這是一種邏輯錯誤,假設只能得到否定結果才能使用。我隨便找一篇舉例。
我們必須明確“假設和假定”,
1,假定或者假定。只能用在否定結果的證明中,例如,歐幾里得證明素數無窮多個,費馬無窮遞降法。 假定a成立,可以推出b,得到c,c與a矛盾,所以假定的a不能成立,得到非a。
2,假定不能用在肯定的結論。假定a,可以推出b,得到c,c=a,或者c包含a,所以假定的a 成立。(這個就是預期理由的錯誤)。
3,為什麼“假定”只能用於否定的結論,而不能用於肯定的結論? 一個對科學理論更強的邏輯制約因素是,它們是能夠被證偽的。換一句話說,因為以後 能夠被觀測作有意義的檢驗,理論一定有被證偽的可能性。這種證偽的判據是區分科學與偽科 學的一種方法。原因在於證實的內在局限性,證實只能增加一個理論的可信度,卻不能證明 整個理論的完全正確。因為在未來的某一個時刻,總是會發現與理論有衝突的事例。
可以肯定,孫斌勇所有的數學證明論文都是錯誤的。
孫斌勇的垃圾論文3頁4頁: 

孫斌勇歸納法證明命題,荒唐! 為什麼不能用歸納法證明?
因為設立命題時使用少量樣本歸納出來的,再用少量樣本證明,就不可靠了。少量樣本歸納證明只是增加了命題的可信度,不能證明整個理論的正確,這就是歸納證實的局限性。
因為歸納法沒有充足理由僅僅依靠少量樣本概括由無窮多個元素組成全稱判斷命題的屬性。
舉例哥德巴赫猜想:
原始信息(6=3+3,8=3+5,..。就是逐一歸納有限的樣本,具有某種性質(兩個素數之和),於是歸納推出“哥德巴赫猜想”推導出數量有無窮多個的樣本也具有某種性質)。
在歸納基礎上產生的猜想,通過演繹證明是不對等的。
歸納是在一個有窮大的樣本中逐一列舉, 只要樣本空間沒有被窮盡, 使用的都是簡單枚舉歸納推理。
對於無窮大的樣本, 我們根本不可能窮盡該樣本空間, (例如哥德巴赫猜想中的偶數就有無窮多個)因此只能使用簡單枚舉歸納推理,簡單枚舉歸納推理是一種擴大前提的推理, 它的結論是不可靠的。
使用歸納推理提出假說, 其假說是非常脆弱的, 因為對它的證實是不可能的, 除非你窮盡樣本空間, 而一旦如此, 你使用的已經不是歸納推理了。
它的脆弱性還表現在, 只要一個反例, 就可以容易地推翻這個假說。
歸納推理是基於有限觀察的,從有限樣本推出一般結論的推理, 它的前提是關於個別事物具有某種性質的論斷, 結論卻試圖得出全體事物皆具有此性質的論斷,中間有一個巨大的邏輯空擋。
無窮多個樣本的數學定理必須是全稱判斷,數學家必須完成一個:由歸納出來的有限個事實樣本去證實無窮多個元素的--不可能完全證實的命題進行演繹方法證明,並且結論是全稱肯定判斷的正確三段論只能是第一格的AAA式。這是絕大多數數學命題證明無法做到的。


|