设万维读者为首页 万维读者网 -- 全球华人的精神家园 广告服务 联系我们 关于万维
 
首  页 新  闻 视  频 博  客 论  坛 分类广告 购  物
搜索>> 发表日志 控制面板 个人相册 给我留言
帮助 退出
没有用的的博客  
科学-政治-反抗-批判-破坏-死亡  
https://blog.creaders.net/u/26161/ > 复制 > 收藏本页
网络日志正文
复旦大学沈维孝院士,一个白痴,用或然推理估计归纳法方法证明数学定理 2025-05-09 20:06:31

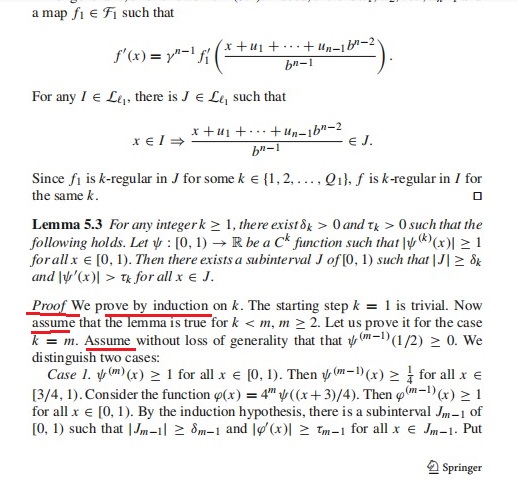
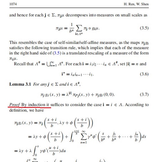
沈维孝也是用估计证明,沈维孝还荒唐地使用归纳法证明定理,归纳法只能证明恒等式,不能证明数学定理,因为,数学定理有属性,归纳法不能证明一件事物有属性。

竟然还宣称证明三体运动,三体问题是二阶逻辑问题,是无穷多个变化率的变化率,人类无法一次性完成的工作,应该交给神去干。

沈维孝1.jpg

沈维孝2.jpg

沈维孝2.jpg


浏览(1013) (0) 评论(0)
发表评论
我的名片
没有用的
注册日期: 2021-10-10
访问总量: 283,790 次
点击查看我的个人资料
Calendar
最新发布
· 北京大学数学院登峰造极--院士全
· 挂羊头卖狗肉:一派乱象--中央巡
· 中国共产党理论网站- 光明网再次
· 难产的2025年度国家科技奖
· 中国科学院作弊-将1956年中国科
· 郭雷从中国科学院院士名单除名
· 甲骨文中也有数学计算
分类目录
【铁】
· 北京大学数学院登峰造极--院士全
· 挂羊头卖狗肉:一派乱象--中央巡
· 中国共产党理论网站- 光明网再次
· 难产的2025年度国家科技奖
· 中国科学院作弊-将1956年中国科
· 郭雷从中国科学院院士名单除名
· 甲骨文中也有数学计算
· 吴石1947年进入中国共产党-投机
· 袁新意谢俊逸狗屁不通论文 Parti
· 科学流氓?侯建国恶搞中国科学
【铜】
· 华为聘用的三位数学家洛朗·拉福
· 太不要脸了,周向宇所有的论文都
· 中国科学院又在造谣--潘建伟团队
· 惊天阴谋-科学家的无耻-政府的荒
· 唐云清狗屁不通的论文获得科尔奖
· 北京市2024年度科技奖公布,数学
· 数学家精神分裂症与专业关系
· 数学流氓丘成桐恶搞华人数学家大
· 丘成桐人间蒸发100天
· 2025年度陈省身数学奖被恶搞:获
【水】
· 昨天中国科学院关闭了院士文库--
· 中国科学界烂透了国耻已经不足以
· 国家科技奖励--从提名到初选:狸
· 院士提名到初选-狸猫换太子--换
· 浙江大学胡吹烂侃--江文帅的狗屁
· 三华人数学家胡闹---宣称证明了1
· 陈景润与张铁生:两个交白卷的英
· 国家科技奖励居然:狸猫换太子
· 马志明院士和陈志明院士-证明数
· 中国科学院外籍院士张寿武用归纳
【雪】
· 夏志宏证明庞勒维猜想证明了自己
· 强烈要求中国政府撤销以往的国家
· 中国数学家太无耻了!被指出错误
· 中国政府“中国科学院-国家自然科
· 为什么不能用归纳法证明数学定理
· 中国头号金融数学家彭实戈和陈增
· 对数学家最后的忠告
· 数学教父王晓明指出:大数密码是
· 数学证明就是数学家个人意志寻找
· 为什么数学定理的证明不能用“估
【雨】
· 迈克尔阿蒂亚-辛格证明的指标定
· 张继平狗屁不通的垃圾论文当选院
· 中国数学家和科技官员又开始贪污
· 科技奖励不应该歧视低端人口-为
· 中国科学院又在造谣--宣称证明哥
· 山东大学无底线--科学网发表反动
· 充满邪恶的国家科技奖励制度
· 香港数学白痴莫毅明与中国数学白
· 丘成桐多重假设估计证明数学命题
· 山东大学刘建亚发表反动文章,鼓
【風】
· 数学命题证明不能使用或然推理——
· 希尔伯特第十问题:是一个伪命题
· 吴文俊获得首届人工智障奖——人工
· 数学物理中的滕王阁序
· 中科院黄飞敏和北京大学邓煜-马
· 只听说过国家追讨文物-没有见过
· 中国科学院又在恶搞--第二届数学
· 天啊,两个白痴宣称证明了挂谷猜
· 中央电视台发布反动视频--公然为
· 量子纠缠到处存在--第五种力切割
【文】
· 敦促中国科学院和中国数学会投降
· 中国共产党新闻网发表反动文章--
· 鎏金青铜树145厘米95字铭文
· 楚国见金朱钱
· 为什么复杂一点的数学命题无法证
· 中国科技官员和科学家又开始抢钱
· 太无耻了!中国科学院公然出版反
· 数学造假获得党和政府的支持:垃
· 数学造假得到党和政府大力支持:
· 中共中央再一次做出错误选择---
【玉】
· 山东大学校长李术才和书记任友群
· 惊人发现:庞加莱猜想居然是一个
· 黄水晶大清天子行宝印章
· 历史见证:中国科学家集体无耻的
· 中国未来10年获得诺贝尔奖的可能
· 中国科技官员和科学家又开始抢钱
· 丘成桐真的是萨比....证明正质量
· 丘成桐的淫威让中国科学院和中国
· 薛其坤获得最高奖利用媒体恶意炒
· 鸮纹觯39厘米
存档目录
2026-04-11 - 2026-04-17
2026-03-18 - 2026-03-26
2026-02-06 - 2026-02-24
2026-01-20 - 2026-01-31
2025-12-14 - 2025-12-25
2025-11-07 - 2025-11-20
2025-10-06 - 2025-10-30
2025-09-07 - 2025-09-30
2025-08-01 - 2025-08-31
2025-07-02 - 2025-07-30
2025-06-02 - 2025-06-23
2025-05-05 - 2025-05-31
2025-04-05 - 2025-04-30
2025-03-09 - 2025-03-22
2025-02-05 - 2025-02-06
2025-01-08 - 2025-01-24
2024-12-05 - 2024-12-11
2024-11-02 - 2024-11-05
2024-10-08 - 2024-10-14
2024-09-11 - 2024-09-24
2024-08-17 - 2024-08-27
2024-07-02 - 2024-07-30
2024-06-12 - 2024-06-27
2024-05-12 - 2024-05-20
2024-04-29 - 2024-04-29
2023-03-08 - 2023-03-08
2022-09-02 - 2022-09-02
2021-11-01 - 2021-11-01
 
关于本站 | 广告服务 | 联系我们 | 招聘信息 | 网站导航 | 隐私保护
Copyright (C) 1998-2026. Creaders.NET. All Rights Reserved.