戴榕菁 這兩天發現了作為剛體動力學的基礎方程的歐拉方程在推導中存在一個意想不到的錯誤。雖然那是剛體動力學的基本方程,但是那個錯誤基本上屬於一個數學錯誤。所以正如本文標題所示,儘管我相當肯定發現了一個錯誤,但仍不敢相信這是真的。。。。那可是歐拉呀。。。。這一方面是因為以歐拉的名頭,如果有任何人出來說找到了歐拉的一個數學錯誤,那可比推翻相對論和康托的集合論更讓人難以置信;另一方面因為這裡出問題的既不是象相對論那種無法用實驗驗證的數學模型也不是在量子力學那種看不見摸不着的領域,而是在過去幾百年裡被無數位教師和科學及工程人員應用並驗證了剛體動力學的基礎方程。。。。 好了,還是先把我發現的問題介紹一下,然後讀者們可以一起公論看我是否錯怪了歐拉大師。 我所發現的是作為剛體動力學的基礎之歐拉方程(Euler’s Equations of Rigid Body Dynamics)在推導過程中的一個錯誤導致了其結果的錯誤。歐拉方程推導的出發點是角動量守恆定律,假設慣性系中有一個剛體B,我們有: 
其中L為角動量,M為外力矩,t是時間。根據轉動力學我們有:

其中I是剛體B在慣性系中的轉動慣量矩陣,ω是B在慣性系中的角速度。假設我們有一個旋轉坐標系R,其在慣性系中的角速度為Ω,那麼我們有:

(3)式中的下標R表示是在旋轉坐標系R中對時間求導。將(2)代入(3),我們有

(4)式又可表達為:

其中İ是剛體B的轉動慣量矩陣在R中對時間求導數, 是B的角速度在R中對時間求導。 現在將坐標系R固定在剛體B上,這時因為剛體B隨着R一起轉動,所以İ = 0, 因此我們有:

但另一方面,當剛體B隨着R一起轉動時,我們有Ω = ω,所以(6)變為:

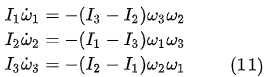
(7)就是著名的歐拉方程【[1]】。這個公式據說是歐拉在1736年發表的,但可惜的是我目前還沒有找到歐拉的原文的英文翻譯。 相信這裡的絕大多數讀者到這一步為止和過去幾百年裡的所有學者一樣並沒有看出上面的推導有什麼問題。 下面我們稍改變一下推導步驟,我們不要等到方程(6)才令Ω = ω,而是在(3)中就令Ω = ω,這樣我們便有下面這個方程: 
到這一步,我猜很多讀者應該看出問題了吧!沒錯,(8)式中的第二項應該等於0!這是因為其中的ω//L,而兩個平行矢量的叉積為零! 因此我們根本不應該有(7)式,而應該有: 
不要以為(9)式只是(7)式當第二項為零時的特例。完全不是。當人們用(7)式來解題時,得出的結果完全可以不滿足第二項等於零這個條件!也就是說(7)式根本就是一個錯誤的公式因為只要其第二項不等於零就打破角動量守恆而歐拉方程的出發點就角動量守恆! 結論: 作為剛體動力學的基本方程的大名鼎鼎的歐拉方程(7)是錯的!!! 我相信凡是對剛體動力學有些了解的讀者或對歐拉如雷貫耳的大名有所耳聞的讀者看到上面這個結論後都會感到難以置信。寫到這裡我不得不再重複一下本文的標題:歐拉會犯這樣的錯誤嗎? 這個錯誤看上去也太簡單了些吧?歐拉是誰呀?假如今天要問在用人名命名的定理,公式,方程,甚至方法中誰的名字被用得最多的,那麼我想歐拉是當之無愧的了。你在網上查“歐拉定理”或“歐拉公式”的話,會大概率地得到不是你要的結果,因為以歐拉命名的定理和公式太多了。不僅如此,有些不是用他名字命名的都和他脫不了干係。比如被拿來當作現代物理學最最基礎的“作用”雖然是莫佩爾蒂(Maupertuis)最先提出的,莫佩爾蒂卻因為提出“作用”這個概念被學界恥笑而喊冤離世,後來是歐拉認可了“作用”這個概念,才使得整個學界採用了“作用”這個概念的。 這麼一位過去幾百年裡的學界泰斗會犯這麼簡單的錯誤?這確實是一個讓我有些誠惶誠恐的問題。 但另一方面,如果有誰站出來說歐拉沒錯,那他還真得要拿出真格的來告訴我在上面的分析中我錯在哪裡了! 尷尬: 如果說發現歐拉方程出錯會讓我感到誠惶誠恐的話,那麼接下來的問題就讓我極其尷尬了: 在找到歐拉方程的推導過程中的錯誤之後,我居然無法確定到底是哪一步導致了那個錯誤! 雖然從上面的討論來看,導致方程(7)出錯的直接原因似乎是令Ω = ω這一步,但這一步本身是沒有問題的呀!憑什麼不能令Ω = ω呢? 如果不是令Ω = ω導致(7)出錯的話,那麼只能是由(1)得出(3)這一步了。但是,這一步也是過去幾百年裡人們一致認可的經典操作呀! 這麼看來,歐拉大師所犯的錯誤雖然乍看起來是中學生都能看出來的沒有令兩個平行的矢量等於零這麼一個簡單的錯誤,但其背後的原因並沒有看起來那麼簡單------這恐怕就是為什麼歐拉大師會犯下那樣的錯誤,而之後幾百年裡的無數學者和工程人員又都沒有發現那個錯誤的原因!
可以說,歐拉推導的每一步按照我們現在已知的知識標準來說都沒有錯,但卻得出了一個明顯錯誤的結果!這可能是這個問題最有趣也是最可怕之處 ---- 這意味着現有的知識體系一定存在着我們目前來說還搞不清的嚴重隱患! 討論: 我相信讀到這裡最讓讀者們不可思議的還是:過去幾百年裡包括航天衛星航空飛機以及各種機械工程在內的無數次實際設計中都會用到剛體力學的歐拉方程,大學教學課堂上不但會講到剛體力學的歐拉方程還大概率地會將剛體力學的歐拉方程用在數值模擬中來解決具體問題。難道這過程中都沒有人會發現剛體力學的歐拉方程其實是有問題的嗎? 對於這個問題我的看法是:在現實設計或模擬計算中,(7)式的第二項雖然可以(錯誤地)不是零,但是與右邊的外力矩M相比通常可能是一個較小的值,因此通常可能都落在了工程設計或數值模擬的誤差範圍之內,所以一直能安然地混過了將近3百年。 而我這次之所以會發現這個問題是因為我要破解的是M=0的情況。對了,就是那個賈尼別科夫效應的問題。自從1985年賈尼別科夫發現了那個效應之後,主流學界都沿用法國數學家和力學家Louis Poinsot在1834年研究中軸定理時用的方法,而Louis Poinsot也不是一個普通人物。但他雖然是在M=0的前提下(不知為什麼在沒有人造衛星的年代他會對那個前提感興趣)用歐拉方程進行的分析,卻也沒能看出歐拉大師所犯的那個錯誤。 而我之所以會追究歐拉方程所存在的問題並不僅是因為我從視頻上看到了賈尼別科夫效應打破了角動量守恆定律,而更主要的是因為當代的主流學界用歐拉方程分析賈尼別科夫效應時明顯得出打破角動量守恆的結果但他們卻出現了集體近視,所有的人都好像沒有看到這一點。科普網紅們【[2]】更是津津樂道地用主流學界從Louis Poinsot學來的穩定性分析來解釋賈尼別科夫效應,就好像他們的結果完全沒有打破任何定律似的。 既然他們用歐拉方程對賈尼別科夫效應進行的所謂穩定性分析的結果明顯打破角動量守恆,而他們又都或是集體近視或是集體假裝沒看見,我就只有再一如既往地在上帝的帶領下,如同過去幾年裡推翻各種被物理學界或數學界權威們認作不可觸犯的金科玉律的理論時做過的一樣,一步步地細究為什麼從角動量守恆出發的歐拉方程會得出打破角動量守恆的結果呢? 細究的結果發現是歐拉方程(即上面的(7)式)中的第二項原本不應該出現,而當外力矩等於零的時候,那一項就相當於給運動物體額外加了一個外力矩【[3]】。 結束語 在上帝的帶領下,經過一個多月的努力【3,[4],[5],[6],[7]】,對於賈尼別科夫效應我提出了如下三個悖論: 1)人們按照Louis Poinsot的中間軸定理之證明邏輯對賈尼別科夫效應進行的所謂的穩定性分析可以在I1 <I2 < I3的前提下得出繞中間軸旋轉時會出現他們稱之為不穩定狀況的結論,而該結論與實驗觀察大體一致;但是運用該邏輯卻完全無法預測I2 < I1 = I3 或I2 > I1 = I3條件下物體的賈尼別科夫效應。 2)在對於賈尼別科夫效應的所謂穩定性分析中,人們通過由角動量守恆推導出的歐拉方程得出了實際上打破角動量守恆的結果; 3)賈尼別科夫效應打破了過去幾百年裡作為物理學最基本的角動量守恆定律(也就是打破了牛頓第二定律)。 本文及本人這兩天貼出的英文文章【3】給出了導致上面第二個悖論的原因。
知道了本文給出的導致第二個悖論的原因之後我們就比較容易解釋第一個悖論了:如前所述,當外力矩M為零時,(7)式中本應為零但卻因為歐拉的錯誤而沒有被置零的那項(即第二項)就人為地為物體的運動提供了一個虛構的外力矩,其表達形式如下: 
將(10)代入(7)中並令其中的M = 0,我們便得到主流學界對賈尼別科夫效應進行穩定性分析的出發方程:

由這個方程進行所謂的穩定性分析就會得出Louis Poinssot的中間軸定理以及當今主流學界對賈尼別科夫效應進行分析的結果。所以,第一個悖論其實是由(7)式的錯誤湊巧得出在特定前提下的“正確”結果。 而上面三個悖論中真正最具震撼性的還是第3個悖論:賈尼別科夫效應打破了過去幾百年裡作為物理學最基本的角動量守恆定律。 不僅如此,賈尼別科夫效應在打破角動量守恆的同時也打破了能量守恆,這也坐實了自2021年以來我所指出的能量並非總是守恆的這一論斷【[8]】。
[[1]]Wikipedia. Euler's equations (rigid body dynamics). Retrieved from: https://en.wikipedia.org/wiki/Euler%27s_equations_(rigid_body_dynamics). Last edited on 22 February 2025, at 23:52 (UTC). 【[2]】李永樂(2022)南北極翻轉地球毀滅?賈尼別科夫效應最硬核解釋!url:https://www.youtube.com/watch?v=ASzflQV-WXE. [[3]]Dai, R. (2025). Dzhanibekov Effect --- A Smashing Challenge to the Foundation of Physics. Retrieved from: https://www.researchgate.net/publication/390097038_Dzhanibekov_Effect_---A_Smashing_Challenge_to_the_Foundation_of_Physics 【[4]】戴榕菁 (2025)一個打臉中間軸定理證明的例子 【[5]】戴榕菁 (2025)那就來聊聊數學 【[6]】戴榕菁 (2025)再聊聊賈尼別科夫效應 【[7]】戴榕菁 (2025)難道被蘇聯封了40年的真正秘密是。。。? [[8]] Dai, R. (2024). When Philosophy is Disparaged. Scholars’ Press. ISBN: 978-620-6-77202-6. 
|