2016-09-16 史政研究所

“國家記憶-美國國家檔案館館藏二戰中美友好合作影像展”以美國國家檔案館館藏二戰期間美國通信兵團164照相兵連拍攝的美國與中國盟軍在中緬印戰場共同抗擊日本侵略者的歷史圖片為主,輔以全國其他地區和其他機構所藏抗戰影像,以直觀的視覺和豐富的史料全面展現這一戰區的獨特性和重要性,以及在二戰格局中的地位;深入展示中國遠征軍浴血奮戰,全面抗擊日本侵略者,最終取得勝利的英勇表現。 二戰期間,美國通信兵團164照相兵連曾在中緬印戰區拍攝了數萬張抗戰照片,並且錄製了很多極其珍貴的影像材料。多年來,這些震撼人心的歷史史料一直在美國國家檔案館裡保存着,少有人問津。直至數月前,一些中國民間學者自籌資金,親赴美國國家檔案館,歷時兩個多月從中整理出所有的抗戰影像資料。這些資料包括兩萬三千餘張戰地照片和超過一百多個小時的原始影像記錄。

在這裡我們可以看到無數真實的歷史細節:國軍士兵在極為惡劣的環境中,使用着第一次世界大戰時的老舊重機槍;美國顧問為一直穿着草鞋打仗的中國步兵分發帆布膠鞋;緬甸、印度少數民族游擊部隊與中美軍隊並肩作戰;名聲赫赫的飛虎隊戰鬥景象……

1945年9月9日,中國南京,從南京中央軍事科學院的陽台上拍攝的日軍簽署投降書的長鏡頭。

1944年11月23日,李占宏(音Lee Chan-Hon)剛剛年滿13歲,儘管已經在中華民國國軍隊裡服役兩年,仍然是稚氣十足,面對鏡頭作微笑狀。(美軍通信兵(U.S.Army Signal Corps)拍攝)

1944年10月14日,收復的騰衝點燃友誼之火。一位年長的中國男人在滿目瘡痍的騰衝街頭停下來,向一名美軍軍士借火,點燃他的煙。這位居民,挑着籃子裝着他所剩無幾的家當回到了焚毀的城裡。圖片中的美軍隸屬於Y部隊顧問團成員,協助中國遠征軍進行這場成功的戰鬥。(美軍通信兵(U.S.Army Signal Corps)拍攝)

在中國飛行員們參觀訪問朴卜羅(Pueblo)的那個上午,中國人和印第安人在剛開始時因文化和語言的障礙而感覺生疏和隔閡,但在傍晚前,他們已經成為很好的朋友了。圖中的中國飛行員教一個印第安男孩對着鏡頭行美式軍禮。

1945年8月22日,日本投降後,散發給日本占領區的中國人的傳單照片。

1944年5月6日,來自北達科他州的通信兵攝影師上等兵亞瑟.海吉(Pvt.Arthur W.Hedgo)在CBI(中緬印戰區) 戰場用中國筷子吃他的美國乾糧,身旁的小孩李田右(音:Lee Ting Yow)在教他使用筷子。海吉是在前線拍攝中國軍隊戰地影片的途中停下來休息時吃他的食品的。

美國空軍在華對日作戰:在中國某處,當空襲警報拉響時,配備降落傘的美國飛行員們飛快地跑向他們的戰機,升空驅趕來犯的日軍飛機。這些駕駛美國飛機的隊員在飛機引擎下方畫了張鯊魚嘴。陳納德將軍的空中力量也包括轟炸機隊,一直執行定期轟炸日軍據點的任務。

1944年7月15日,在沿列多公路某處的康復營地里,史迪威將軍脫帽對着一群中國退伍軍人講話。戰爭遺留下的傷殘軍人先在此學習新的生存技能—鐵匠、 編織、 木工等, 然後離開軍旅回到平民生活。這個營地當時由中美共同管理經營,大約有兩百多名退伍士兵(全都有不同程度的傷殘)。(美軍通信兵(U.S.Army Signal Corps)拍攝,美國戰爭信息辦公室(USOWI)發布)

1944年3月31日,美軍士兵慰問中國戰友。在緬甸北部的胡康河谷,一名美軍士兵彎下腰來給一名中國傷員點燃香煙。中美聯軍猶如兩把鋒利的叉子刺向日軍,將敵人逐出了具有戰略地位的胡康河谷。

1944年3月31日,照片所示體現了現代機械與傳統人力勞動的強烈對比,表現中國人民奮力拖拉一個巨石碾子滾過跑道, 用血肉之軀鋪築通往民族解放之路。

美軍空軍地勤人員疲倦地返回基地之後,一架波音B-29轟炸機再次騰空而起;從它的肚子下面鑽出來的兩位飛機工程師,剛剛填補了它身上的高射炮彈孔,替換上脫落的起落架。在維修保養中心,飛機工程師們晝夜不停地工作,更換零件、修理保養、調試,目標一致地將這架巨型轟炸機送上天空。圖為這群開心的地勤人員從停機坪走過來,對自己的工作心滿意足。
人物左起依次為:馬薩諸塞州的弗蘭西斯.達利(Francis L.Daly)技術軍士、路易斯安那州的弗蘭克林.布萊恩一世(Franklin W.Brian)技術軍士、堪薩斯州的孿生兄弟勞倫斯.華納(Lawrence C.Werner)及列那多.華納(Leonard J.Werner)技術軍士、威斯康星州的喬治.科雷恩(GeorgeP.Klein)技術軍士、俄亥俄州的尤金.菲爾雷(Eugene W.Fiely)技術軍士。

1945年4月12日,在緬甸臘戍附近,美軍第49野戰外科醫生享受着美妙的音樂娛樂。(美軍通信兵(U.S.Army Signal Corps)拍攝)

“嘩!”,還有另一個目標在牆上。加州的詹姆士·羅布農(JamesH.Lobnow)技術軍士手執釘錘,對一群侵入印度藍姆枷的“B-29”狠狠打擊,當“煙消雲散”的戰鬥結束後,發現牆上停歇着眾多“飛機殘骸”。“哦!真不少!這就是殘酷的戰爭!”恐怕只能這樣感嘆如此奇觀了。(凱佛茨(Keyfetz)參謀軍士(美軍通信兵(U.S.Army Signal Corps)拍攝)

1945年3月15日,華盛頓的傑拉爾德·克瑞甘(Gerald M.Creegan)上尉以及弗吉尼亞州的霍華德·格里高里(Howard C.Gregory)上尉,與他們的中國朋友正一起從緬甸臘戍的廢墟走出來。他們隸屬於第5野戰炮團。(謝瑞爾(Shearer)美軍通信兵(U.S.Army Signal Corps)拍攝)

1944年9月2日,中國軍隊第14師42團隊列里最年輕的士兵。他就是雲南人李樂貝(音Lee Lew Bell)上等兵,年僅12歲,但是已經入伍一年。圖為他正向兩名美軍聯絡官誇獎他的湯姆式衝鋒鎗。左:俄克拉何馬州的步兵聯絡官萊繆窯約翰遜(Lemuel S.Johnson)上尉,右:華盛頓州的醫務聯絡官上尉。

戰時廣州學生。這些愛國的男女青年組織起來,進一步加強民族抵抗力量。他們中的每個人都儘自己最大的能力來幫助抗戰,年長的學生從軍參戰,醫學科的學生和中學生共同成立了緊急救護隊。這張照片講述他們不知疲倦地救助那些深受戰爭傷痛的人的整個故事。這位緊急救護隊的女學生在被炸毀的房屋廢墟上,豎起了紅十字會的標準 旗幟。(卡帕(Capa)/GLU/10拍攝)

中國女戰士。她們有勇有謀,有堅定的信念,看到她們的家園被日本侵略者洗劫屠殺,激起了她們奮力反抗的決心。現在的中國學校里,講求男女平等,女孩像男孩一樣自由。很多女孩都自願加入抗日武裝部隊,進行軍事訓練。強制性的軍事訓練使她們學到基本的軍事知識和作戰技巧,她們的英勇表現在前線被廣為傳頌。

1944年4月6日,給修築機場民工送飯。中國某地,三名中國民工巧妙運用兩條槓桿抬一隻飯桶,給機場上艱苦勞作的民工送去。全國上下大約有30萬民工參與機場修築工程,這些機場是由中美兩國工兵規劃設計的,以建立攻擊日軍的空軍基地。

1945年2月15日,在緬甸臘戍以北55英里處,第2炮兵連的一門155毫米榴彈炮陷入溪流,找來一台卡車拖拽。(美軍通信兵(U.S.Army Signal Corps)拍攝)

喜歡小動物是全世界士兵們的相似之處。在這裡,衛立煌將軍麾下的中國遠征軍正向中國西南的怒江前線集結。在那裡,中國軍隊發起了滇西總反攻,以突破日軍對滇緬公路的封鎖。士兵們帶上他們的寵物猴,放在為前線運輸武器給養的騾馬背上。弗蘭克·多恩准將指揮的美軍Y部隊聯絡官小組,在前線與中國盟軍一起戰鬥。(1944年7月10日,Y部隊參謀部公共關係辦公室照片。)

這是第一張披露剛剛來到中國的全機械化部隊的照片,展示重型坦克、摩托車隊和駕駛的坦克兵。中國坦克部隊的名字是根據傳統生肖里的動物來命名的,比如虎、龍之類中國人較為迷信的動物。生肖動物被畫在坦克車身上。這批照片拍攝於中國中部的湖南省,著名的長沙會戰就在此發動。湖南有中國最好的公路網,是中國最好的稻米生產地。儘管日軍數次發動攻勢企圖向南侵占整個湖南,然而該省僅僅有北端一小片土地被日本人占領。圖中的坦克僅是中國稱為“龍”(中國人發音“Long”)的坦克部隊的一部分。

美國轟炸機的致命俯衝。它的彈倉門已開啟,一架美國B-25轟炸機在南中國海上空咆哮着向它盯上的一艘日本護衛艦衝去;這艘護衛艦是當天被擊沉的兩艘同類型日艦的其中一艘。

1945年9月28日,撤退的日軍剛剛離開了華南,由藝術工作者組成的宣傳隊出現在街頭,開始在布滿彈孔的牆上告訴人們抗日救國的故事。這些宣傳隊由青年男女組成,他們緊跟挺進的部隊,為士兵和百姓講課,用圖畫告訴他們中國抗日戰爭所取得的勝利,他們還兼任新聞宣傳員。(拍自華南日軍撤走後的第一組照片)

1945年6月13日,在中國南寧,一群中國民工和中美士兵攜手將一架C-47型運輸機拖出一個充滿泥漿的炸彈坑,該機場剛剛從日軍手中奪取。(美軍通信兵(U.S.Army Signal Corps)拍攝)

1944年10月11日,中國昆明,在中國的大壩機場,一名中國衛兵站立在一輛破舊的坦克殘骸上警戒放哨。(攝影師:格林伯格(S.L.Greenberg)技術軍士)

1945年8月19日,在印度潘諾圖拉(Panatola)的美軍墓地,密歇根州底特律的隨軍牧師威廉姆·鮑爾斯(William E.Powers)為13名在緬甸叢林中陣亡的美軍空中運輸部隊戰士舉行葬禮。遺骸是由位於印度阿薩姆邦查巴(Chabua)的第105軍需處墓地登記小 隊(105 QM Graves Registration Platoon)的人員從墜機現場打撈並復原的。

中國第十四空軍總部,十四空軍的戰機——食人鯊,列隊等待檢修。這些戰鬥機在對日空戰中取得驚人的十比一的好成績。

1944年11月19日,一等兵唐納德·E·品客,來自華盛頓州艾佛雷,為信號部攝影師。一群好奇的中國步兵把正在準備攝影設備的品客圍住。品客準備拍攝一些巴莫南端的照片。

巴莫,緬甸北部。中國衛兵在散兵坑中監視戰地邊界。這個戰士要確保敵人無法滲透防線,而日軍只有一百碼遠。

美國士兵與一個展示中國服飾的模特。從左到右依次為:大兵拉爾夫·柯蒂斯,來自波士頓的馬薩諸塞;一等兵L·S·羅森,來自波士頓的馬薩諸塞;下士約翰·E·史密斯,來自馬薩諸塞。

1944年12月11日,在巴莫,剩餘的頑固日軍正在遭受第三野戰炮營第九小組的轟擊。操作這些武器的正是受過美軍訓練的中國軍隊。

1944年5月1日,巴莫,一台第七野戰排一零五型豪威側爾榴彈炮,在剛向日軍轟擊之後處於炮筒後座狀態。

1944年12月12日,第一一四團第二連的戰士攜帶火藥補給前往巴莫前線。

1945年3月6日,臨時坦克組的中型坦克在攻擊拉戌的敵軍時開過南曜河,迎接他們的是被困在這個地區的印度苦力。

1945年3月6日發,老拉戌,緬甸。第一臨時坦克組的坦克正在接受改裝,被用作推土機來為其他坦克開路。

1944年12月16日,照片拍攝於被中國第三十八軍從日軍手中拿下二十四小時後的緬甸巴莫,日軍屍體和廢墟一目了然。

1944年12月12日,巴莫,緬甸。一群官兵向第一一四團第一營所在前線運送一些廣播設備,那裡正在進行對日軍的心理戰。

中國新式海軍的八艘軍艦,曾屬於美國海軍,正結束它們在加州聖迭戈的訪問,掉頭前往東方的基地。由受過美國海軍培訓的中國海軍人員操縱船隻。圖為“永泰號”引擎在甲板上大修。參與人員為美國海軍首席機械師大副羅伯特·加里森,外聯海軍軍士。他正在演示引擎修理過程中的一個微妙要點。接受指導的是二等消防員李衛華(Lie kwe hwa)和袁長泰(yuan chang tai)。

1945年3月9日,中國。第二百軍的士兵踩着竹子橋登上C-46,這些士兵將被空運到東部前線。

1944年9月7日,來自俄克拉荷馬的第五技術兵梅爾·L·汀斯利正在給一日本女子進行緊急救護。這名日本女子在中國第八陸軍收復松山陣地時受傷被擒。兩名中國士兵在展示俘獲的日軍旗幟。

1944年9月8日,一名中國士兵站在一台剛剛繳獲的火炮上。中國第八陸軍炸毀了日軍占領的碉堡,剿滅十五名日軍。

1944年9月10日,一輛偽裝過的中國第五陸軍裝甲車在緬甸公路上快速開往龍陵的前線。

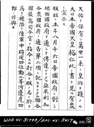
這是一張日本代表團給總參謀長麥克阿瑟將軍的帝國憑證,在照片中心的是日本帝國圖章構成的正方形。正上方是裕仁天皇的個人簽名。

在安排投降要求的會議之前,這是日本代表團給總參謀長麥克阿瑟將軍的帝國憑據的一頁。

在安排投降要求的會議之前,這是日本代表團給總參謀長麥克阿瑟將軍的帝國憑據的一頁。【註:文中中國指中華民國】【轉載自首都人網】
|